Κάθε χρόνο τέτοια μέρα, ανοίγεις sites και social και νιώθεις πως κάτι κακό πρέπει να σου συμβαίνει, ακόμη κι αν μέχρι πριν πέντε λεπτά ήσουν μια χαρά. Σήμερα λέει είναι η Blue Monday, η πιο θλιβερή Δευτέρα του χρόνου, η μέρα που όλη η ανθρωπότητα υποτίθεται ότι περπατά με σκυμμένο κεφάλι και σιγοτραγουδά how does it feel to treat me like you do από το θρυλικό Blue Monday των New Order. Ρομαντικό ως εικόνα, ύποπτο ως αφήγημα.

Η Blue Monday έχει καθιερωθεί ως η τέλεια αφορμή για λίστες τύπου πώς να νικήσεις τη μελαγχολία της πιο δύσκολης μέρας του χρόνου, για άρθρα που σε πείθουν ότι κάτι δεν πάει καλά μαζί σου και για μια γενική αίσθηση συλλογικής κατήφειας που εμφανίζεται από το πουθενά. Και κάπου εδώ μπαίνει το ερώτημα. Είναι όντως μια μαύρη Δευτέρα ή απλώς ένα καλοστημένο παραμύθι που επαναλαμβάνεται κάθε Ιανουάριο;

Η γέννηση μιας θλιβερής ιδέας

Η ιστορία της Blue Monday δεν ξεκίνησε σε κάποιο εργαστήριο ψυχολόγων ούτε σε μια σοβαρή επιστημονική έρευνα. Όπως έχει καταγράψει το Wired, όλα άρχισαν τον Ιανουάριο του 2005, όταν η αεροπορική εταιρεία Sky Travel αναζητούσε έναν τρόπο να ξυπνήσει το καταναλωτικό ενδιαφέρον μετά τις γιορτές. Η ιδέα ήταν απλή και ταυτόχρονα ιδιοφυής. Αν οι άνθρωποι νιώθουν πεσμένοι μετά τα Χριστούγεννα, γιατί να μην τους πεις ότι αυτό που αισθάνονται έχει επιστημονική εξήγηση και φυσικά λύση;

Έτσι, σε ένα δελτίο Τύπου εμφανίστηκε για πρώτη φορά ο όρος Blue Monday. Μια συγκεκριμένη Δευτέρα του Ιανουαρίου βαφτίστηκε ως η πιο καταθλιπτική μέρα του χρόνου, με τη βοήθεια μιας μαθηματικής εξίσωσης που υποτίθεται ότι μετρούσε τη θλίψη. Τα media το αγκάλιασαν χωρίς πολλές ερωτήσεις και ο όρος άρχισε να κυκλοφορεί σαν να επρόκειτο για αδιαμφισβήτητο γεγονός.

Η εξίσωση που δεν έβγαζε νόημα αλλά έπειθε

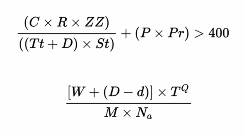
Για να σταθεί το αφήγημα, χρειαζόταν κάτι που να μοιάζει σοβαρό. Κάπως έτσι εμφανίστηκε η περίφημη εξίσωση της Blue Monday. Μάλιστα, όχι μία αλλά δύο διαφορετικές εκδοχές, ώστε να μη μείνει καμία αμφιβολία ότι μιλάμε για επιστήμη και όχι για έμπνευση της στιγμής.

Στον αριθμητή της εξίσωσης μπήκαν ο καιρός, τα χρέη, ο μισθός, οι μέρες που πέρασαν από τα Χριστούγεννα και η απογοήτευση από τις υποσχέσεις της νέας χρονιάς που ήδη ξεθωριάζουν. Στον παρονομαστή τοποθετήθηκαν η κινητοποίηση και η αποφασιστικότητα. Το αποτέλεσμα υποτίθεται ότι αποδείκνυε πως αυτή η Δευτέρα είναι πιο βαριά από όλες τις άλλες.

Στην πραγματικότητα, μιλάμε για έναν αχταρμά εννοιών που δεν μπορούν να μετρηθούν με τον ίδιο τρόπο και σίγουρα δεν συνδυάζονται μαθηματικά. Αλλά η εξίσωση έκανε τη δουλειά της. Έμοιαζε περίπλοκη, άρα έμοιαζε και αληθινή.

  • W=weather (καιρός)
  • D=debts (χρέη)
  • d =salary (μισθός)
  • T=time (χρόνος που έχει περάσει από την ημέρα των Χριστουγέννων)
  • Q= ο χρόνος που έχει περάσει ώστε να διαπιστώσουμε πως δεν μπορούμε να κρατήσουμε τις υποσχέσεις μας για τη νέα χρονιά.

Στον παρονομαστή:

  • M=Motivation (κίνητρο)
  • Na = αποφασιστικότητα για δράση

όπως εξηγεί και το oneman.gr!

Ο άνθρωπος πίσω από την υπογραφή

Την υπογραφή του σε αυτή τη μαθηματική παρωδία έβαλε ο ψυχολόγος Cliff Arnall, ο οποίος τότε παρουσιαζόταν ως ακαδημαϊκός συνδεδεμένος με το Cardiff University. Σήμερα, το πανεπιστήμιο δεν τον αναφέρει στους διδάσκοντες, κάτι που λέει από μόνο του αρκετά.

Χρόνια αργότερα, ο ίδιος ο Arnall παραδέχτηκε δημόσια ότι πληρώθηκε για να βάλει την υπογραφή του σε μια φόρμουλα που δεν του ανήκε. Ακόμη πιο αποκαλυπτικό είναι το γεγονός ότι του είχαν προτείνει και κάτι αντίστοιχο από γνωστό brand παγωτού. Να δημιουργήσει δηλαδή μια εξίσωση που θα υπολόγιζε τη πιο χαρούμενη μέρα του χρόνου. Λιγότερα χρήματα, ίδια λογική και καμία επιστημονική αξία. Και όμως, τότε δεν είχε αρνηθεί.

Γιατί μας χρειάστηκε η Blue Monday

Μετά τις γιορτές, η αγορά περνά πάντα μια περίοδο ξηρασίας. Ο κόσμος έχει ξοδέψει, έχει κουραστεί και δεν ψάχνει αφορμές για νέες αγορές. Ο τουριστικός κλάδος το νιώθει αυτό εντονότερα από όλους. Η Blue Monday ήρθε ακριβώς για να καλύψει αυτό το κενό, πατώντας στο συναίσθημα και προσφέροντας μια εύκολη διέξοδο. Νιώθεις χάλια; Κλείσε ένα ταξίδι.

Και κάπως έτσι, μια μέρα χωρίς πραγματικό περιεχόμενο απέκτησε παγκόσμια αναγνώριση. Έγινε viral πριν καν μάθουμε τι σημαίνει viral και συνεχίζει να επιβιώνει, παρά το γεγονός ότι η βάση της είναι εντελώς σαθρή. Μεγάλη επιτυχία από επικοινωνιακής άποψης, μικρή έως ανύπαρκτη από επιστημονικής.

Οπότε αν σήμερα ξυπνήσεις και νιώθεις μια χαρά, μην ανησυχείς. Δεν αγνόησες καμία παγκόσμια αλήθεια. Απλώς δεν αγόρασες άλλη μια καλοπουλημένη ιστορία. Και αυτό, μεταξύ μας, είναι πάντα καλή αρχή για μια Δευτέρα.